Онлайн калькулятор расчета сопротивления для светодиодов
Онлайн калькулятор
В схемах со светодиодами обязательно используются резисторы для ограничения. Они защищают от перегорания и преждевременного выхода из строя светодиодных элементов. Основная проблема заключается в точном подборе необходимых параметров, поэтому у специалистов широкой популярностью пользуется калькулятор расчета сопротивления для светодиодов. Для получения максимально точных результатов потребуются данные о напряжении источника питания, о прямом напряжении самого светодиода и его расчетном токе, а также схема подключения и количество элементов.
Как рассчитать сопротивление токоограничивающих резисторов
В самом простом случае, когда отсутствуют необходимые исходные данные, величину прямого напряжения светодиодов можно с высокой точностью установить по цвету свечения. Типовые данные об этом физическом явлении сведены в таблицу.
Многие светодиоды имеют расчетный ток 20 мА. Существуют и другие виды элементов, у которых этот параметр может достигать значения 150 мА и выше. Поэтому для того чтобы точно определить номинальный ток, понадобятся данные о технических характеристиках светодиода. Если же нужная информация полностью отсутствует, номинальный ток элемента условно принимается за 10 мА, а прямое напряжение – 1,5-2 вольта.
Количество токоограничивающих резисторов напрямую зависит от схемы подключения полупроводниковых элементов. Например, если используется последовательное соединение, можно вполне обойтись одним резистором, поскольку сила тока во всех точках будет одинаковой.
В случае параллельного соединения одного гасящего резистора будет уже недостаточно. Это связано с тем, что характеристики светодиодов не могут быть абсолютно одинаковыми. Все они обладают собственными сопротивлениями и такими же разными потребляемыми токами. То есть, элемент с минимальным сопротивлением потребляет большее количество тока и может преждевременно выйти из строя.
Следовательно, если выйдет из строя хотя-бы один светодиод из подключенных параллельно, это приведет к возникновению повышенного напряжения, на которое остальные элементы не рассчитаны. В результате, они тоже перестанут работать. Поэтому при параллельном соединении для каждого светодиода предусматривается собственный резистор.
Все эти особенности учтены в онлайн-калькуляторе. В основе расчетов лежит формула определения сопротивления: R = Uгасящее/Iсветодиода. В свою очередь Uгасящее = Uпитания – Uсветодиода.
electric-220.ru
Параллельное и последовательное включение светодиодов
При параллельном включении светодиодов необходимо иметь в виду, что соединение к одному ограничивающему резистору не рекомендуется. Это связано с тем, что даже светодиоды одного типа имеют большие разбросы по току.
Это приводит к тому, что при таком включении через светодиоды будут течь токи разной величины. Светодиоды будут светиться с разной яркостью. Кроме того, в случае, если сгорит один источник света, то по остальным светодиодам потечет большой ток, что может привести к выходу из строя всех остальных.
Впервые столкнувшись с задачей монтажа безопасного электроснабжения дома или квартиры, многие ищут отвечт на вопрос: УЗО — что это такое? Задача такого устройства — передать сигнал о неисправности в домашней электросети соответствующей аппаратуре.
Детальнее ознакомиться с принципом работы устройства защитного отключения можно тут, а о схемах подключения — здесь.
Поэтому при параллельном включении светодиодов обычно к каждому прибору последовательно подключают свой ограничивающий резистор. Расчет сопротивления и мощности такого резистора ничем не отличается от ранее рассмотренного случая.
При последовательном включении светодиодов необходимо включать приборы одного типа. Кроме того, надо учитывать то, что напряжение источника должно быть не меньше суммарного рабочего напряжения всей группы светодиодов. Расчет токоограничивающего резистора для светодиодов последовательного включения считаются также, как и раньше. Исключение состоит в том, что при вычислении вместо величины Uсв используется величина Uсв*N. В данном случае N — это количество включенных приборов.
Выводы:
- Светодиоды — широко распространенные приборы, используемые в технике, для освещения и рекламы.
- Во избежание выхода из строя светодиодов из-за их чувствительности к изменениям напряжения для них часто используют ограничивающие резисторы.
- Расчет значения сопротивления ограничивающего резистора делается на основе закона Ома.
Расчет гасящего резистора для светодиода
Первым делом разберемся как выполнить расчет сопротивления гасящего резистора, от чего оно зависит и какой мощности должен быть резистор для питания светодиода от источника питания. Ток (I) через резистор и светодиод протекает один и от же. Напряжение на резисторе равно разнице напряжений питания и напряжения на светодиоде (VS-VL). Здесь нам нужно рассчитать сопротивление резистора (R), при котором через цепь будет протекать напряжение I, а на светодиоде будет напряжение VL.
Допустим что мы будем питать светодиод от батареи напряжением 5В, как правило такое питающее напряжение используется при питании микроконтроллерных схем и другой цифровой техники. Вычислим значение напряжения на гасящем резисторе, для этого нам нужно знать падение напряжения на светодиоде, это можно выяснить по справочнику для конкретного светодиода.
Примерные значения падения напряжения для светодиодов (АЛ307 и другие маломощные в подобном корпусе):
- красный – 1,8…2В;
- зеленый и желтый – 2…2,4В;
- белые и синие – 3…3,5В.
Допустим что мы будем использовать синий светодиод, падение напряжения на нем – 3В. Производим расчет напряжения на гасящем резисторе – Uгрез = Uпит – Uсвет = 5В – 3В = 2В. Для расчета сопротивления гасящего резистора нам нужно знать ток через светодиод. Номинальный ток конкретного типа светодиода можно узнать по справочнику. У большинства маломощных светодиодов (наподобии АЛ307) номинальный ток находится в пределах 10-25мА.
Допустим что для нашего светодиода номинальный ток для его достаточно яркого свечения составляет 20мА (0,02А). Получается что на резисторе будет гаситься напряжение 2В и проходить ток 20мА. Выполним расчет по формуле закона Ома:
R = U / I = 2В / 0,02А = 100 Ом.
В большинстве случаев подойдет маломощный резистор с мощностью 0,125-0,25Вт (МЛТ-0,125 и МЛТ-0,25). Если же ток и напряжение падения на резисторе будет очень отличаться то не помешает произвести расчет мощности резистора:
P = U * I = 2В * 0,02А = 0,04 Вт.
Таким образом, 0,04 Вт явно меньше номинальной мощности даже для самого маломощного резистора МЛТ-0,125 (0,125 Вт). Произведем расчет для красного светодиода (напряжение 2В, ток 15мА).
- Uгрез = Uпит – Uсвет = 5В – 2В = 3В.
- R = U / I = 3В / 0,015А = 200 Ом.
- P = U * I = 3В * 0,015А = 0,045 Вт.
При подключении светодиодов не нужно забывать что они имеют полярность. Для определения полярности светодиода можно использовать мультиметр в режиме прозвонки или же омметр. Использование гасящих резисторов оправдано для питания маломощных светодиодов, при питании мощных светодиодов нужно использовать специальные LED-драйверы и стабилизаторы.
Расчет гасящего резистора для светодиода.
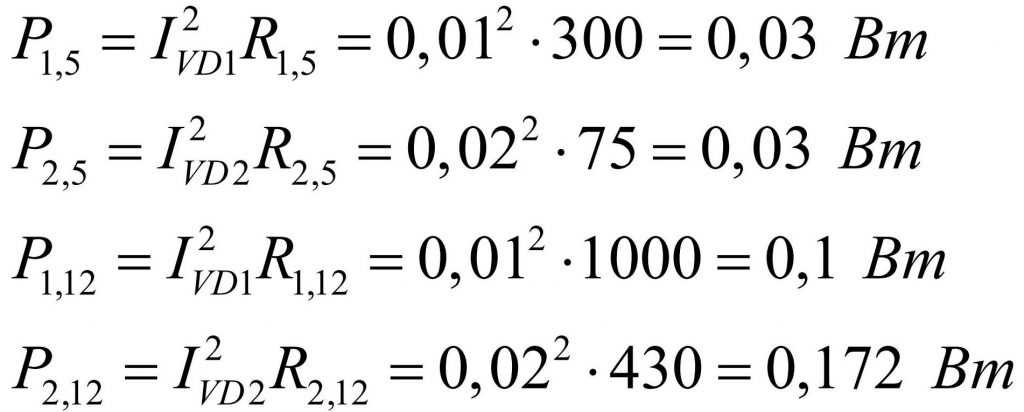
Расчет мощности рассеивания
Определить сопротивление – это только полдела. Еще резистор характеризуется важным параметром, который называется мощность рассеивания P – это мощность, которую он способен выдержать длительное время, при этом, не перегреваясь выше определенной температуры. Она зависит ток в квадрате, так как последний протекая в цепи, вызывает нагрев ее элементов.
P = I2R.
Визуально резистор более высокой Р отличается большими размерами.
Выполним расчет P для всех 4-х резисторов:

Из стандартного ряда мощностей выбираем ближайшие номиналы в сторону увеличения: первые три сопротивления можно взять с мощностью рассеивания 0,125 Вт, а четвертый – с 0,250 Вт.
Запишем общий расчет резистора для светодиода. Следует определить всего три параметра:
1) падение напряжения
2) сопротивление
3) мощность рассеивания.
Как видно, понять и запомнить данный алгоритм достаточно просто. Теперь, в случае применения специальных калькулятор, вы будете понимать, что и как они считают. Кстати, алгоритмы многих подобных калькуляторов не учитывают стандартный ряд номинальных значений, поэтому будьте внимательны, а лучше считайте все сами – это очень полезно делать для приобретения ценного опыта.

Как выполняется пайка и подключение
Следует помнить о необходимости четко придерживаться полярности при работе с полупроводниковыми приборами. Нарушение такого требования в лучшем случае приведет к тому, что светодиоды не будут работать, но может произойти и их полный выход из строя.
Стандартный вариант исполнения – ножка катода (–) всегда короче, чем анода (+). Второй способ, по которому распознают катод – внутри прибора часть ножки выглядит толще. Но оптимальный способ определиться с контактами – обращение к справочнику.
Помните, что диоды плохо переносят возможный перегрев в процессе пайки. Для этой процедуры желательно брать паяльники с мощностью до 100 Вт, а более емкие по параметрам потребления приборы лучше не использовать.
Отвести часть тепла от предмета и выполнить функцию вспомогательного охлаждающего средства сможет обыкновенный пинцет и ряд мелких инструментов из металла.
Чтобы предотвратить нагревание прибора, максимальное время для обработки одной ножки не должно превышать 5 секунд.
Контакты в непосредственной близости к корпусу при выполнении монтажных мероприятий должны быть расположены параллельно – аналогично их размещению на выходе. Небольшие радиусы применяются при изгибе контактов, при этом отступ от корпуса необходимо отступить подальше. Просверливаются отверстия для ножек, и начинается сборка на плоской, жесткой подставке.
Разницу между номинальным напряжением светодиода и источником важно учитывать при подборе последнего. Чем больше данная величина, тем незначительнее воздействие на элементы цепи перепады в блоке питания
Важный нюанс – установка предохранителей.
Контактные площадки есть у безвыходных SMD. Специальное жало с разветвлением – инструмент для пайки подобных элементов.
Похожие материалы:
- Схема подключения светодиодной ленты.
- Устройство и характеристики …
- SMD светодиоды: характеристики
- Видео № 8 о принципах работы, …
← Предыдущая страница
Следующая страница →
Особенности замены конденсаторов
К примеру, в наличии сеть переменного тока 12 В и две альтернативных группы последовательных конденсаторных элементов.
Конденсаторы подсоединяются в последовательный контур для увеличения напряжения, под которым они остаются работоспособными, но их общая емкость падает в соответствии с формулой для ее расчета.
Часто применяется смешанное соединение конденсаторов, чтобы создать нужную емкостную величину и увеличить напряжение, которое детали способны выдержать.
Можно привести вариант, как соединить несколько компонентов, чтобы выйти на нужные параметры. Если требуется конденсаторный элемент 80 мкФ при напряжении 50 В, но есть только конденсаторы 40 мкФ на 25 В, необходимо образовать следующую комбинацию:
- Два конденсатора 40 мкФ/25 В подсоединить последовательно, что позволит иметь в общей сложности 20 мкФ /50 В;
- Теперь вступает в действие параллельное включение конденсаторов. Пара конденсаторных групп, включенных последовательно, созданных на первом этапе, соединяются параллельно, получится 40 мкФ / 50 В;
- Две собранные в итоге группы соединить параллельно, в результате получим 80 мкФ/50 В.
Важно! Для того чтобы усилить конденсаторы по напряжению, возможно их объединить в последовательную электросхему. Увеличение общей емкостной величины достигается параллельным подключением
Что необходимо учитывать при создании последовательной цепи:
- При соединениях конденсаторов оптимальный вариант – брать элементы с мало различающимися или с одинаковыми параметрами, вследствие большой разницы в напряжениях разряда;
- Для баланса токов утечки на каждый конденсаторный элемент (в параллель) включается уравнительное сопротивление.

Получение неполярного конденсатора
Включение в последовательную цепь всегда должно происходить с соблюдением «плюса» и «минуса» конденсаторов. Если их соединить одноименными полюсами, то такое сочетание уже теряет поляризованность. При этом емкость созданной группы будет равна половине от емкостного значения одной из деталей. Такие конденсаторы возможно применять в качестве пусковых на электромоторах.
Расчет резистора для светодиода
Надежная работа светодиода зависит от тока, протекающего через него. При заниженных значениях, он просто не будет светить, а при превышении значения тока – характеристики элемента ухудшатся, вплоть до его разрушения. При этом говорят – светодиод сгорел. Для того чтобы исключить возможность выхода из строя этого полупроводника необходимо подобрать в цепь с включенным в нее, резистором. Он будет ограничивать ток в цепи на оптимальных значениях.
Вычисление номинала сопротивления
Для работы радиоэлемента на него нужно подать питание. По закону Ома, чем больше сопротивление отрезка цепи, тем меньший ток по нему протекает. Опасная ситуация возникает, если в схеме течет больший ток, чем положено, так как каждый элемент не выдерживает большей токовой нагрузки.
Сопротивление светодиода является нелинейным. Это значит, что при изменении напряжения, подаваемого на этот элемент, ток, протекающий через него, будет меняться нелинейно. Убедиться в этом можно, если найти вольт — амперную характеристику любого диода, в том числе и светоизлучающего. При подаче питания ниже напряжения открытия p – n перехода, ток через светодиод низкий, и элемент не работает. Как только этот порог превышен, ток через элемент стремительно возрастает, и он начинает светиться.
Если источник питания соединять непосредственно со светодиодом, диод выйдет из строя, так как не рассчитан на такую нагрузку
Чтобы этого не произошло – нужно ограничить ток, протекающий через светодиод балластным сопротивлением, или произвести понижение напряжения на важном для нас полупроводнике
Рассмотрим простейшую схему подключения (рисунок 1). Источник питания постоянного тока подключается последовательно через резистор к нужному светодиоду, характеристики которого нужно обязательно узнать. Сделать это можно в интернете, скачав описание (информационный лист) на конкретную модель, или найдя нужную модель в справочниках. Если найти описание не представляется возможным, можно приблизительно определить падение напряжения на светодиоде по его цвету:
- Инфракрасный — до 1.9 В.
- Красный – от 1.6 до 2.03 В.
- Оранжевый – от 2.03 до 2.1 В.
- Желтый – от 2.1 до 2.2 В.
- Зеленый – от 2.2 до 3.5 В.
- Синий – от 2.5 до 3.7 В.
- Фиолетовый – 2.8 до 4 В.
- Ультрафиолетовый – от 3.1 до 4.4 В.
- Белый – от 3 до 3.7 В.
Рисунок 1 – схема подключения светодиода
Ток в схеме можно сравнить с движением жидкости по трубе. Если есть только один путь протекания, то сила тока (скорость течения) во всей цепи будет одинакова. Именно так происходит в схеме на рисунке 1. Согласно закону Кирхгоффа, сумма падений напряжения на всех элементах, включенных в цепь протекания одного тока, равно ЭДС этой цепи (на рисунке 1 обозначено буквой Е). Отсюда можно сделать вывод, что напряжение, падающее на токоограничивающем резисторе должно быть равным разности напряжения питания и падения его на светодиоде.
Так как ток в цепи должен быть одинаковым, то и через резистор, и через светодиод ток получается одним и тем же. Для стабильной работы полупроводникового элемента, увеличения его показателей надежности и долговечности, ток через него должен быть определенных значений, указанных в его описании. Если описание найти невозможно, можно принять приблизительное значение тока в цепи 10 миллиампер. После определения этих данных уже можно вычислить номинал сопротивления резистора для светодиода. Он определяется по закону Ома. Сопротивление резистора равно отношению падения напряжения на нем к току в цепи. Или в символьной форме:
R = U (R)/ I,
где, U (R) — падение напряжения на резисторе
I – ток в цепи
Расчет U (R) на резисторе:
U (R) = E – U (Led )
где, U (Led) — падение напряжения на светодиодном элементе.
С помощью этих формул получится точное значение сопротивления резистора. Однако, промышленностью выпускаются только стандартные значения сопротивлений так называемые ряды номиналов. Поэтому после расчета придется сделать подбор существующего номинала сопротивления. Подобрать нужно чуть больший резистор, чем получилось в расчете, таким образом, получится защита от случайного превышения напряжения в сети. Если подобрать близкий по значению элемент сложно, можно попробовать соединить два резистора последовательно, или параллельно.
Подбор мощности резистора
Если подобрать сопротивление меньшей мощности, чем нужно в схеме, оно просто выйдет из строя. Расчет мощности резистора довольно прост, нужно падение напряжения на нём умножить на ток, протекающий в этой цепи. После чего нужно выбрать сопротивление с мощностью, не меньшей рассчитанной.
Онлайн калькулятор SMD резисторов
Этот калькулятор поможет вам найти величину сопротивления SMD резисторов. Просто введите код, написанный на резисторе и его сопротивление отразится внизу.
Калькулятор может быть использован для определения сопротивления SMD резисторов, которые маркированы 3 или 4 цифрами, а так же по стандарту EIA-96 (2 цифры + буква).
Хотя мы сделали все возможное, чтобы проверить функцию данного калькулятора, мы не можем гарантировать, что он вычисляет правильные значения для всех резисторов, поскольку иногда производители могут использовать свои пользовательские коды.
Поэтому чтобы быть абсолютно уверенным в значении сопротивления, лучше всего дополнительно измерить сопротивление с помощью мультиметра.
Таблица связи между “цветовой гаммой” и ключевыми понятиями
| Расцветка на полосе резистора | Показатель валентности | Множитель | Показатель толерантности | Значение температурного коэффициента * |
| Бесцветная | не существует | отсутствует | диапазон 20 процентов | неопределенно |
| Серебряная | не существует | 10 в степени -2 | диапазон 10 процентов | неопределенно |
| Золотая | не существует | 10 в степени -1 | диапазон 5 процентов | неопределенно |
| Черная | ноль | единица | неизвестно | 200/1000000 |
| Коричневая | один | десять | диапазон 1 процент | 100/1000000 |
| Красная | два | сто | диапазон 2 процента | 50/1000000 |
| Оранжевая | три | 10 в степени 3 | неизвестно | 15/1000000 |
| Желтая | четыре | 10 в степени 4 | неизвестно | 25/1000000 |
| Зеленая | пять | 10 в степени 5 | диапазон полпроцента | неопределенно |
| Синяя | шесть | 10 в степени 6 | диапазон 0,25 процентов | 10/1000000 |
| Фиолетовая | семь | 10 в степени 7 | диапазон 0,1 процентов | 5/1000000 |
| Серая | восемь | 10 в степени 8 | диапазон 0,05 процентов | 1/1000000 |
| Белая | девять | 10 в степени 9 | неизвестно | неопределенно |
Светодиод как нелинейный элемент
Рассмотрим семейство вольт-амперных характеристик (ВАХ) для светодиодов различных цветов. Эта характеристика показывает зависимость тока, проходящего через светоизлучающий диод, от напряжения, приложенного к нему. Как видно на рисунке, характеристики имеют нелинейный характер.
Это означает, что даже при небольшом изменении напряжения на несколько десятых долей вольта, ток может измениться в несколько раз. Однако при работе со светодиодами обычно используют наиболее линейный участок (т.н. рабочую область) ВАХ, где ток изменяется не так резко. Чаще всего производители указывают в характеристиках светодиода положение рабочей точки, то есть значения напряжения и тока, при которых достигается заявленная яркость свечения.
Представленные выше характеристики были получены для светоизлучающих диодов, включенных в прямом направлении. То есть отрицательный полюс питания подключен к катоду, а положительный – к аноду
Подключение светодиода через резистор

Схема подключения светодиода С учетом представленных данных можно сделать несколько важных промежуточных выводов:
- резистивные защитные схемы применяют при маленькой мощности;
- они не выполняют функции стабилизации;
- пассивный элемент не способен гасить импульсные броски напряжения.
Приемлемые показатели эффективности можно получить при создании:
- датчиков;
- индикаторов;
- сигнализаторов.
Для маленькой локальной подсветки аквариума такое решение подойдет. Однако вряд ли будет приемлемым длительное потребление большого количества энергии. Отсутствие стабилизации проявляется заметным изменением яркости при увеличении/уменьшении напряжения.
Как сделать правильный расчет сопротивления для светодиода?
Можно выделить три основные методики: при помощи онлайн калькулятора, расчет при помощи программы, установленной на компьютер и вычисление сопротивления резистора самостоятельно при помощи формул.
Расчет онлайн
Использовать калькулятор, который можно найти в интернете на многих сайтах применяемого при расчете необходимого параметра сопротивления. В этом случае вводятся паспортные данные светодиода, количество последовательно соединенных приборов и напряжение источника питания.
По справочнику узнать следующие параметры:
- номинальное напряжение полупроводника;
- рабочий ток светодиода.
Ввести все необходимые данные в готовую форму.
Получить готовый номинал ограничительного сопротивления и его мощность.
Расчет с помощью калькулятора
Есть программы вычисления данных сопротивления для ограничения прямого тока светодиода, которые можно приобрести в электронных магазинах, на оптических дисках или скачать с бесплатных сайтов. Установить калькулятор на компьютер. Определить напряжение питания цепи и количество последовательно соединенных светодиодов.
- Запустить программу.
- Ввести исходные данные.
- Получить сопротивление для резистора и его мощность рассеивания.
Расчет вручную
Для расчета вручную нужно вспомнить закон Ома: I = U / R . Узнать исходные данные:
- напряжение источника питания;
- его прямой ток;
- прямое напряжение прибора;
- определиться с количеством элементов в цепи и со схемой их включения.
Наиболее распространены две схемы питания светодиодов:
Расчета схемы последовательного соединения светодиода и резистора.
Сумма напряжений на светоизлучающем приборе VD 1 и на сопротивлении R 1 должно равняться напряжению источника питания — U пр. Ток, проходящий через светодиод и через резистор – равны между собой — I пр.
Исходные данные: U пр=3В, I пр=20мА, U ип-12В.
Рассчитать напряжение на R 1: U R 1 = U ип- U пр. U R 1 =12-3=9В.
Имея эти данные можно высчитать сопротивление ограничительного сопротивления в цепи: R 1= U R 1/ I пр. R 1=9/0,02=450Ом.
Сопротивление в цепи ставят для ограничения проходящего тока, при этом выделяется тепло
Важной характеристикой резистора является параметр «рассеиваемая мощность». Если ее недостаточно, то происходит перегрев элемента, подгорание и изменение параметров вплоть до разрушения, что приведет к неисправности цепи. Поэтому необходимо рассчитать и мощность рассеивания: P = I * U
Поэтому необходимо рассчитать и мощность рассеивания: P = I * U
P R 1 =0,02*9=0,18Вт
Поэтому необходимо рассчитать и мощность рассеивания: P = I * U . P R 1 =0,02*9=0,18Вт.
В результате расчетов получится, что для устойчивой работы прибора с параметрами U пр=3 В, I пр=20 мА в цепи с источником постоянного тока напряжением 12 вольт необходим резистор сопротивлением 450 Ом мощностью 0,18Вт.
Расчета для схемы последовательного соединения резистора и трех светодиодов.
Подобный расчет можно провести и для цепи с последовательно соединенными одним сопротивлением и тремя светоизлучающими элементами. Их количество может быть произвольным, но при условии, что сумма напряжений на них не менее напряжения источника питания.
Все приведенные выше расчеты справедливы и для этой схемы. Разница лишь в том, что для питания трех последовательно соединенных элементов будет необходимо не 3 вольта, а в три раза больше. Для питания трех светодиодов требуется 9 вольт, а на резисторе будет падение напряжения: U R 1= U ип — ( U VD 1+ U VD 2+ U VD 3 ). Получается 3 вольта. Ток в цепи не изменится, потому, что через три последовательно соединенных светодиода будет проходить тот же ток — I пр=20мА.
Изменятся соответственно и параметры резистора. R 1= U R 1/ I пр. R 1=3/0,02=150Ом.
Мощность тоже поменяется: P R 1 =0,02*3=0,06Вт.
Для тех, кто не очень хорошо знаком с резисторами: промышленность выпускает резисторы с определенными номиналами. Если требуется элемент с такими данными – 50Ом, 0,18Вт, а их в наличии нет, тогда можно использовать 51Ом, который есть в линейке номиналов и 0,25Вт, что выше требуемого значения и подойдет не хуже расчетного значения.
Также можно подобрать нужное значение, соединяя элементы последовательно или параллельно. При последовательном соединении значения сопротивления суммируются. При параллельном – рассчитывается по специальной формуле.
Альтернативой пассивным элементам в схеме ограничения тока можно отметить стабилизаторы тока, которые намного сложнее, но работа их более надежна и экономична.
Расчет резистора для светодиода при последовательно-параллельном соединении
Последовательно-параллельно светодиоды соединяют в осветительных приборах с высокой мощностью. Соединение универсально: используется и для постоянного, и для переменного тока.
В таком случае последовательно соединённые цепочки светодиодов соединяют параллельно.
Нагрузочный резистор должен быть выбран с учётом того, что во всех параллельных ветках будет одинаковое напряжение. Поэтому для вычисления нужно вычислить только сопротивление одного резистора в любой цепи:
R = (Un*ULED)/ ULED,
где n — число светодиодов на ветке.
Лимит по числу диодов на ветке находится по формуле: n = (U = ULED)/ULED.
После проведения необходимых расчётов можно соединить диоды гибридным способом.

Плюсы гибридного соединения:
- При выходе из строя одного диода, остальная часть схемы продолжит полноценно работать и не случится перенапряжения.
- Для работы нужно меньше резисторов, чем в других соединениях.





























